Attention ! Fermeture imminente du forum d’Elektor (pour en savoir plus, cliquer ici). À partir du vendredi 1er mars il ne sera plus possible de s’identifier sur ce forum, mais son contenu restera disponible en lecture seule jusqu’à la fin du mois. Le 1er avril, il sera fermé définitivement.

Projet 2x3voies à 95db filtré en actif

Le <a href="http://www.elektor.fr/bienentendu" target=_blank><U>livre</U></a> de Francis Ibre

Re: Projet 2x3voies à 95db filtré en actif

Postby jean-marc plantefève » Mon Feb 12, 2018 7:05 pm

Quebec,

Il suffit de mettre un transfo de qualité pour avoir le moins de bruit possible et de changer les condensateurs d'entré ...... c'est tout !
C'est expédié en dilettante, comme souvent (rigolo ce coup : Les Tripath 8 ohm sont en BTL ..... Boot Tail Long ( je crois ) les versions 4 ohm eux sont bridgé).

Ce que je proposais à Franck, en déport pour un moindre bruit :
- R-core, pont de diodes et ton 6800µF dans le boitier déporté relié à la terre (PE)
- ton 10000µF Vishay, régulateur 1084 et 0.1µF (qui doit pouvoir passer à 1µ en MKT), sur le pcb amplificateur
jean-marc plantefève
 
Posts: 939
Joined: Mon Jan 20, 2014 7:54 am

Re: Projet 2x3voies à 95db filtré en actif

Postby Franck34000 » Tue Feb 13, 2018 5:05 pm

Bonjour Jean-Marc,

jean-marc plantefève wrote:!? BTL = 2 sorties bridgés. Ce qui permet une basse tension asymétrique (une batterie par ex.). L'impossible, serait de "surbridger" deux BTL, comme ceux du TA2020.


J'avais écrit : "de toutes les façons, le Tripath2020 est en BTL nativement ( les sorties "masse" ne sont pas communes ). Il est donc impossible de le "bridger" sous peine de destruction ! " .
Je suis fâché avec la langue anglaise ; c'était donc mon interprétation, de ce que écrit Jan, dans son PDF :
" Important: the output is bridged, so each speaker should
connect to its own respective plus and minus. The minus is NOT ground and negative is
NOT common for the two channels and NOT common to the power supply minus/ground . "

jean-marc plantefève wrote:cette page ne propose pas le déport du LM1084 en amélioration comme tu sembles le penser. D'ailleurs, les figures 12 et 13 de ce document TI suggère plutôt la proximité du régulateur à la charge (ici le TA2020). Insérer un filtrage 2R-10000µ, c'est conduire à une gigue de l'alimentation du Tripath, dommage alors qu'il y a normalement régulation.

J'ai relu le passage (avec les figures 12 et 13) de la doc. du Régulateur 1084 . Il s'agit d'une recommandation (avec R1 au plus près de la patte de sortie) . Il faut prémunir le régulateur, d'une addition de cette R1 avec Rt1 ( la résistance de la liaison vers la charge ) .
Dans mon cas Rt1 vaudra 2ohms, J'aurais ensuite une capa. réservoir de 10000µf . Et puis, le Tripath avec ses condo .
Je réfléchis ! ...

Cordialement
Franck
_
Franck34000
 
Posts: 104
Joined: Tue May 16, 2017 8:22 pm
Location: france 34000

Re: Projet 2x3voies à 95db filtré en actif

Postby quebec » Tue Feb 13, 2018 5:57 pm

jean-marc plantefève wrote:Quebec,

Il suffit de mettre un transfo de qualité pour avoir le moins de bruit possible et de changer les condensateurs d'entré ...... c'est tout !
C'est expédié en dilettante, comme souvent (rigolo ce coup : Les Tripath 8 ohm sont en BTL ..... Boot Tail Long ( je crois ) les versions 4 ohm eux sont bridgé).

Ce que je proposais à Franck, en déport pour un moindre bruit :
- R-core, pont de diodes et ton 6800µF dans le boitier déporté relié à la terre (PE)
- ton 10000µF Vishay, régulateur 1084 et 0.1µF (qui doit pouvoir passer à 1µ en MKT), sur le pcb amplificateur


Pour les modules Hifimediy des Tripath , il indique que les versions 8 ohm sont en BTL et les 4 ohm sont bridged

https://hifimediy.com/?page_id=18&category=1

Un régulateur amène du bruit ! par rapport a un simple pont de diode Schottky
Frank en a deux amplificateurs 2020 .... qu'il essai les deux façons pour comparer .... on verra bien
Évidemment le transfo est déporté .
Le bruit d'une alimentation vient de ou ? ..... des composants ( leur qualité ) qui la compose , donc transfo diode régulateur et condensateur ainsi que la pureté de l'alimentation publique ( le 220 ) du primaire . Avec le condensateur de 16 000 uF du board l'ondulation du DC sera pratiquement réduit a rien car prendre un 10 watts dans ce condensateur sera toujours dans le tout début de la ligne de la constance de temps , donc aucune modulation sera causé par la demande des mosfets .
Wagner ..... La musique commence là où s'arrête le pouvoir des mots
quebec
 
Posts: 652
Joined: Mon Jan 20, 2014 7:54 am

Re: Projet 2x3voies à 95db filtré en actif

Postby jean-marc plantefève » Tue Feb 13, 2018 6:42 pm

quebec,

Pour les modules Hifimediy des Tripath , il indique que les versions 8 ohm sont en BTL et les 4 ohm sont bridged
https://hifimediy.com/?page_id=18&category=1

Ce lien ne montre aucun produit à TA2020. As-tu un lien plus ciblé ?

Un régulateur amène du bruit ! par rapport a un simple pont de diode Schottky
De mieux en mieux.

Le bruit d'une alimentation vient de ou ? ..... des composants ( leur qualité ) qui la compose
Couplage par champ induit, couplage par impédance commune, liés à l'agencement du câblage ? Tu as raison, oublions les lois de l'électrotechnique et naviguons aux lois audiophilesques.
jean-marc plantefève
 
Posts: 939
Joined: Mon Jan 20, 2014 7:54 am

Re: Projet 2x3voies à 95db filtré en actif

Postby quebec » Tue Feb 13, 2018 8:10 pm

jean-marc plantefève wrote:quebec,


Le bruit d'une alimentation vient de ou ? ..... des composants ( leur qualité ) qui la compose
Couplage par champ induit, couplage par impédance commune, liés à l'agencement du câblage ? Tu as raison, oublions les lois de l'électrotechnique et naviguons aux lois audiophilesques.



Mais tous ces faits que vous énumérer s’applique aussi bien sur les deux design , non ! .... expliquer un peu plus ; couplage

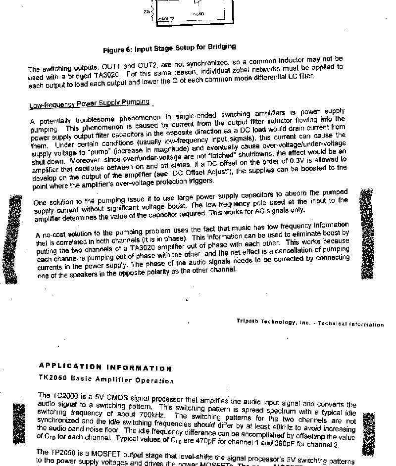
Tripath a décalé un des deux canal de 90 degré pour éviter le pompage . Il n'y a pas de masse commune pour les HP .

Je connais pas vraiment le petit modèle de Tripath .... pas assez de puissance pour moi .
Mais j'ai lu que pour le 2020 est bridged c'est pour cela qu'il y a plus de puissance en 4 ohm que 8 ohm
Wagner ..... La musique commence là où s'arrête le pouvoir des mots
quebec
 
Posts: 652
Joined: Mon Jan 20, 2014 7:54 am

Re: Projet 2x3voies à 95db filtré en actif

Postby jean-marc plantefève » Tue Feb 13, 2018 10:26 pm

quebec,

Mais tous ces faits que vous énumérer s’applique aussi bien sur les deux design , non !
Les deux design ?

.... expliquer un peu plus ; couplage
Ta maîtrise semble pourtant suffisante. La qualité des composants, un point c'est tout.

Tripath a décalé un des deux canal de 90 degré pour éviter le pompage .
90 degrés !? Pompage ?!

Je connais pas vraiment le petit modèle de Tripath .... pas assez de puissance pour moi .
Intervenir en conseils quand on connaît vraiment, non ?
Mais si c'est une question de puissance...
jean-marc plantefève
 
Posts: 939
Joined: Mon Jan 20, 2014 7:54 am

Re: Projet 2x3voies à 95db filtré en actif

Postby quebec » Wed Feb 14, 2018 10:58 am

Mais tous ces faits que vous énumérer s’applique aussi bien sur les deux design , non !
Les deux design ?
votre façon de faire et la mienne .... pour l'alimentation

.... expliquer un peu plus ; couplage
Ta maîtrise semble pourtant suffisante. La qualité des composants, un point c'est tout.
J'ai des notions mais couplage me dit rien en soit , c'est plus abstrait
le " c'est tout " c'est seulement pour ce qui a à faire sur le board de Frank


Tripath a décalé un des deux canal de 90 degré pour éviter le pompage .
90 degrés !? Pompage ?!
Pour la demande de courant ..... comme vous dites , vous avez assez d'expérience pour comprendre facilement

Je connais pas vraiment le petit modèle de Tripath .... pas assez de puissance pour moi .
Intervenir en conseils quand on connaît vraiment, non ?
Le principe de fonctionnement de tout les modèles sont le même

Mais si c'est une question de puissance...[/quote]
Regarder la courbe de distorsion des Tripath et vous allez comprendre .
.... la courbe descend doucement et remonte très rapidement après le 7 watts
Ce n'est pas comme avec les tubes ou la distorsion progresse doucement ,
il n'y a pas de grosse briseuse dans l'allure de la courbe comme avec les Tripath .
Tout électronicien savent cela ! .... que c'est pas bon d'avoir une grosse brisure dans l'allure de la courbe de distorsion et c'est pour cela qu'avec plus de puissance je me tient loin de la distorsion .... autant que possible .
Wagner ..... La musique commence là où s'arrête le pouvoir des mots
quebec
 
Posts: 652
Joined: Mon Jan 20, 2014 7:54 am

Re: Projet 2x3voies à 95db filtré en actif

Postby jean-marc plantefève » Wed Feb 14, 2018 1:16 pm

quebec,

Tripath a décalé un des deux canal de 90 degré pour éviter le pompage.
Le principe de fonctionnement de tout les modèles sont le même

J'ai beau réétudier différents datasheets Tripath, je ne vois absolument nulle part l'énoncé de ce drôle de principe.
jean-marc plantefève
 
Posts: 939
Joined: Mon Jan 20, 2014 7:54 am

Re: Projet 2x3voies à 95db filtré en actif

Postby quebec » Wed Feb 14, 2018 3:44 pm

Je vais le retrouver dans les feuilles que j'avais imprimé dans le temps ( plus de 5 ans ) je ne sais pas si on peut encore trouver ces documents sur le web aujourd'hui .

je vais le scanné et mettre la photo un peu plus tard aujourd'hui

Salut

c'est un peu différent de ce que j'ai dit ....... j'ai intégré les deux informations des deux paragraphes pour le même sujet

j'avais moins d'expérience dans ce temps là .

https://i62.servimg.com/u/f62/16/96/37/97/110.jpg
Last edited by quebec on Wed Feb 14, 2018 7:14 pm, edited 3 times in total.
Wagner ..... La musique commence là où s'arrête le pouvoir des mots
quebec
 
Posts: 652
Joined: Mon Jan 20, 2014 7:54 am

Re: Projet 2x3voies à 95db filtré en actif

Postby Franck34000 » Wed Feb 14, 2018 5:06 pm

Bonjour,
Jean-Marc

Je réfléchissais... et, je reprends le fil . Ce qui m'intéresse, ce sont tes conseils sur mon alim.
J'entrevois deux possibilités .

1) le transfo R-core de 80VA + pont de diodes + 6800µf + R2ohms + 10000µf + Régulateur .
2) le transfo R-core de 80VA + pont de diodes + 6800µf + Régulateur + R2ohms + 10000µf .
Dans le premier cas, le régulateur fourni la demande des condo présents sur le pcb du Tripath .
Dans le deuxième cas, les condo du Tripath sont maintenu chargé par le condo de 10000µf .

Mais, si tu est sur que cela danse "la gigue", j'enléve R2 sur le deuxième cas ( si et seulement si, les 10000µf ne s'additionnent pas avec les 6800µf de lissage déja présent ) .

Pour ce qui concerne les ampli à modulation de largeur d'impulsion "mli"; j'ai retrouvé cette discussion sur le forum ici :
viewtopic.php?f=156010&t=160074&start=10

Tes avis ?
Cordialement
Franck
_
Last edited by Franck34000 on Thu Mar 01, 2018 1:27 am, edited 1 time in total.
Franck34000
 
Posts: 104
Joined: Tue May 16, 2017 8:22 pm
Location: france 34000

PreviousNext

Return to Bien Entendu - itinéraire d'un audiophile

Who is online

Users browsing this forum: SKhorn and 2 guests